Содержание
Введение
В предыдущих
разделах мы подробно рассмотрели расчет
аналоговых фильтров с заданными
характеристиками. Пришло время переходить
к анализу цифровых фильтров. Считаю
важным разделить понятия дискретного
и цифрового фильтра. Дискртеным мы
будем называть фильтр, импульсная
характеристика которого является
дискретной, а коэффициенты передаточной
функции рассчитаны точно без ошибок
округления. Под цифровым фильтром мы
будем понимать дискретный фильтр,
коэффициенты передаточной характеристики
которого рассчитаны не точно, а с ошибками
округления вызванными конечной
разрядностью представления числа. На
практике все рассчитанные фильтры
являются цифровыми, так как разрядность
представления числа ограничена. Однако
использование компьютера позволяет
производить операции с 64-битными числами
с плавающей точкой, что минимизирует
ошибки округления, поэтому можно
предполагать, что рассчитанные с такой
разрядностью фильтры «почти
дискретные». Важно
понимать, что если есть устойчивый
дискретный фильтр, то округление его
коэффициентов (даже самое незначительное)
может привести к неустойчивому цифровому
фильтру. Поэтому при расчете фильтров,
особенно фильтров высокого порядка
всегда необходимо проверять их
устойчивость.
Дискретные сигналы. Преобразование Лапласа дискретного сигнала
В
цифровых системах сигналы представляют
собой последовательности отсчетов,
взятые, как правило, через равные промежутки
времени
 .
Рассмотрим дискретный сигнал

|
(1)
|
Графически
процесс дискретизации сигнала показан
на рисунке 1.

Рисунок 1: Графическое представление дискретного сигнала
Рассмотрим
преобразование Лапласа от дискретного
сигнала
 ,
которое равно:
|
(2)
|
При выводе (2) мы
использовали фильтрующее свойство
дельта-функции.
Важное
замечание. Если
 ,
то получаем преобразование Фурье
дискретного сигнала, при этом

является периодической функцией частоты
с периодом
 ,
кроме того, если
 ,
то
|
(3)
|
Это нетрудно
доказать, подставив в выражение (2)
 ,
тогда получим:
|
(4)
|
Другими словами
представление образа по Лапласу
дискретного сигнала на комплексной
плоскости периодично по мнимой оси. Это
наглядно показано на рисунке 2 для образа

непрерывного сигнала

и

дискретного сигнала
 .
Синими кружочками условно показаны
нули образа
 ,
а красными крестиками — полюса.

Рисунок 2: Образы по Лапласу для непрерывного и дискретного сигналов
Фильтрация дискретного сигнала. Дискретный фильтр
Теперь рассмотрим
процесс фильтрации дискретного сигнала
 .
Согласно свойству преобразования
Лапласа, процесс фильтрации во временной
области сводится к умножению образов
по Лапласу исходного сигнала

на передаточную характеристику фильтра
 ,
которая в свою очередь представляет преобразование Лапласа импульсной
характеристики фильтра
 .
Тогда преобразование Лапласа сигнала
на выходе фильтра можно записать:
|
(5)
|
Теперь рассмотрим
три случая:
Первый случай.

- образ дискретного сигнала, удовлетворяет
(3), а

- передаточная характеристика непрерывного
фильтра, и свойство (3) не выполняется,
значит

также не удовлетворяет (3). Тогда можно
сделать вывод о том, что при прохождении
дискретного сигнала через аналоговый
фильтр, выходной сигнал получается
аналоговым. Аналоговый фильтр производит
восстановление непрерывного сигнала
по имеющемуся дискретному.
Второй случай

- образ дискретного сигнала, удовлетворяет
(3), а

- передаточная характеристика фильтра,
которая также удовлетворяет (3) (импульсная
характеристика фильтра является
дискретной), причем интервалы дискретизации
сигнала и фильтра одинаковые и равны
 .
Тогда получаем, что в результате
произведения

также удовлетворяет (3). Таким образом,
при прохождении дискретного сигнала
через дискретный фильтр, выходной сигнал
получается дискретным, с той же частотой
дискретизации.
Третий случай.

и

удовлетворяют (3), но интервал дискретизации
сигнала

равен
 ,
а интервал дискретизации фильтра
 .
В этом случае

также удовлетворяет (3), но период
дискретизации

будет равен наименьшему общему кратному

и
 .
Данный случай на практике не применяется.
Таким образом,
для того чтобы на выходе фильтра получить
дискретный сигнал, необходимо чтобы
импульсная характеристика фильтра
также была дискретной, а значит
передаточная характеристика дискретного
фильтра может быть представлена как :
|
(6)
|
На практике
данная сумма может содержать как
конечное, так и бесконечное количество
коэффициентов
 .
Если у дискретного фильтра количество
коэффициентов ограничено, то такой
фильтр называют фильтром с конечной
импульсной характеристикой (КИХ фильтр
или FIR-фильтр finite
impulse response), а если количество
коэффициентов бесконечно, то такой
фильтр называют фильтром с бесконечной
импульсной характеристикой (БИХ или
IIR-фильтр infinite
impulse response). БИХ фильтры
часто называют еще рекурсивными.
Z-преобразование
Если имеется
передаточная характеристика аналогового
фильтра

в виде нулей и полюсов фильтра, то для
того чтобы фильтр стал дискретным
необходимо периодически «размножить»
нули и полюса с периодом
 (смотри
рисунок 2). При этом мы получим бесконечное
количество нулей и полюсов дискретного
фильтра, что не совсем удобно. Для
облегчения анализа вводят z-преобразование
путем отображения комплексной s-плоскости
в комплексную z-плоскость
вида:
|
(7)
|
Тогда преобразование
Лапласа дискретного сигнала переходит
в z – преобразование:
|
(8)
|
Поскольку
|
(9)
|
то все бесконечные
периодические повторения нулей и полюсов
дискретного фильтра в плоскости s
преобразуются в одну точку в плоскости
z.
Давайте рассмотрим
подробнее свойства этого отображения:
Если
 ,
то
 .
Если

(чисто вещественно),
то
 ,
также чисто вещественно, причем
 .
При
 ,
 ,
а при
 ,
 .
Если

(чисто мнимое),
то

- точка расположенная на
единичной окружности повернутся на
угол
 .
Таким образом вся мнимая ось плоскости
s отображается в единичную
окружность плоскости z.
Если
 ,
то
 ,
где
 .
Точка расположена на окружности
радиуса
 ,
повернутая на угол
 .
Если
 ,
то  ,
т.е. вся левая полуплоскость плоскости
s отображается внутрь
единичной окружности плоскости z,
а если
 ,
то

и вся правая полуплоскость s
отображается вне единичной окружности
на плоскости z.
Графически
отображение s-плоскости
в комплексную z-плоскость
показано на рисунке 3.

Рисунок
3: Преобразование комплексной s-плоскости
в компелексной z-плоскость
При
переходе из комплексной s
– плоскости в комплексную
z-плоскость
все бесконечно-повторяющиеся нули и
полюса дискретного фильтра в s
плоскости отображаются
в конечное количество нулей и полюсов
в z-плоскости.
Тогда выражение для передаточной
характеристики дискретного фильтра
может быть представлено при помощи
подстановки (7)
через конечное количество нулей и
полюсов в z-плоскости
как:
|
(10)
|
где
 и

- отображение нулей и
полюсов дискретного фильтра в z
плоскости, а
 и

- коэффициенты дискретного
фильтра, полученные путем раскрытия
произведений нулей и полюсов и приведении
подобных слагаемых. Таким образом,
главный вывод, который мы должны сделать
заключается в следующем: при переходе
от аналогового фильтра к дискретному,
образ по Лапласу становится периодическим
по мнимой оси, а количество нулей и
полюсов фильтра бесконечным. Но при
переходе в комплексную z –
плоскость мы получаем снова конечное
количество нулей и полюсов, и соответственно
конечное количество коэффициентов
дискретного фильтра. Поэтому
z-преобразование можно
считать аналогом преобразования Лапласа
для дискретных фильтров.
Свойства z-преобразования
Рассмотрим
некоторые свойства z-преобразования.
Свойство 1.
Линейность. Z-образ суммы двух сигналов
равен сумме z-образов этих
сигналов. Действительно, пусть есть два
дискретных сигнала

и
 ,  .
Найдем z-преобразование их суммы
 :
|
(11)
|
Свойство 2.
Свойство задержки. Пусть дан исходный
дискретный сигнал
 ,
 .
Найдем z-преобразование сигнала
 ,
задержанного на

отсчетов:
|
(12)
|
При выводе была
введена переменная
 ,
тогда

и получили, что задержка исходного
сигнала на

добавляет множитель

к z-преобразованию сигнала.
Тогда задержка на один отсчет соответствует
 .
Свойство 3.
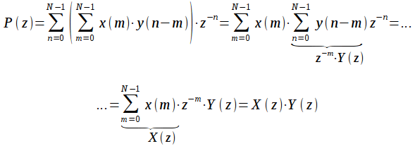
Теорема о свертке. Пусть дано два сигнала

и
 ,  .
Найдем z-преобразование
их круговой свертки.
|
(13)
|
При выводе было
использовано свойство задержки
z-преобразования. Таким
образом z-преобразование
свертки сигналов равно произведению
их z-образов.
Разностное уравнение дискретного фильтра
Можно сделать
вывод о том, что если есть передаточная
характеристика дискретного фильтра
 ,
то согласно (13):
|
(14)
|
Но мы помним,
что передаточная функция дискретного
фильтра

выражается через нули и полюса согласно
(10) и не зависит от входных и выходных
сигналов. Тогда приравнивая (10) и (14)
можно записать:
|
(15)
|
Откуда получаем
уравниение вида:
|
(16)
|
Ранее мы уже
говорили о том, что произведение полиномов
можно получить численным методом путем
вычисления линейной свертки коэффициентов
исходных полиномов (подробно данный
вопрос был рассмотрен здесь). Тогда мы
можем раскрыть произведения полиномов
левой и правой частей при помощи линейной
свертки вида:
|
(17)
|
В выражении (17)
в квадратных скобках выделены коэффициенты
полинома произведения, вычисленные
через линейную свертку. Очевидно что
равенство двух полиномов будет если
порядки этих полиномов равны, т.е.

и коэффициенты при соответствующих
степенях полиномов также равны. Тогда
можно приравнять то что в квадратных
скобках и получим:
|
(18)
|
Выражение (18)
есть разностное уравнение дискретного
фильтра. По аналогии с тем, что аналоговые
фильтры могут быть описаны дифференциальными
уравнениями, дискретные фильтры
описываются разностными уравнениями.
Рассмотрим подробнее разностное
уравнение (18). Для этого перепишем его
в виде:
|
(19)
|
Таким образом
очередной
 -
ый отсчет на выходе фильтра

рассчитывается как взвешенная сумма
задеражанных входных отсчетов минус
взвешенная сумма предыдущих выходных
отсчетов. Очень важно, чтобы
 был
отличен от нуля, в противном случае
сигнал на выходе будет бесконечным.
Часто задают

для того чтобы «не таскать» за собой
 .
При этом коэффициенты дискретного
фильтра в разностном уравнении

если

и

если
 .
Количество коэффициентов

и

задают порядок дискретного фильтра.
Рекурсивные (БИХ) и нерекурсивные (КИХ) фильтры
Согласно
разностному уравнению дискретного
фильтра (19) очередной выходной отсчет
рассчитывается на основе предыдущих
выходных отсчетов. Таким образом
получается рекурсия и фильтр называется
рекурсивным или фильтром с бесконечной
импульсной характеристикой (БИХ или в
англоязычной литературе IIR
infinitе impulse response). Бесконечная
импульсная характеристика получается
ввиду того, что предыдущее значение на
выходе фильтра отлично от нуля, значит
текущее значение также будет отлично
от нуля (и оно же будет предыдущим для
следующего отсчета на выходе), значит
и следующий отсчет на выходе будет
отличен от нуля. Рассмотрим пример.
Пусть имеется БИХ-фильтр первого порядка
с передаточной функцией:
|
(20)
|
Очевидно, что

и
 .
Разностное уравнение данного фильтра
имеет вид:
|
(21)
|
Рассчитаем
импульсную характеристику
фильтра. Для этого необходимо подать
на вход сигнал
 .
Графически расчет импульсной
характеристики представлен на рисунке
4.

Рисунок 4: Импульсная характеристика БИХ фильтра
Видно, что следующий отсчет
импульсной характеристики в 2 раза
меньше чем предыдущий, и таким образом
импульсная характеристика убывает, но
никогда не достигает нуля, хотя стремится
к нему, т.е. является бесконечной.
Если же все
коэффициенты

(разумеется кроме коэффициента
 ,
который нельзя приравнивать к нулю), то
получим фильтр, отсчеты на выходе
которого, зависят только от входных
отсчетов:
|
(22)
|
Такой фильтр
называется нерекурсивным или фильтром
с конечной импульсной характеристикой
(КИХ) или
как еще говорят FIR (finite
impulse response). Отсчеты
импульсной характеристики КИХ фильтра
полностью совпадают с коэффициентами

и при

импульсная характеристика КИХ фильтра
равна нулю. Важно также
отметить, что передаточная характеристика
КИХ фильтра имеет в знаменателе только

и не имеет полюсов.
Выводы
Таким образом
мы рассмотрели преобразование Лапласа
дискретного сигнала и показали, что оно
периодично по мнимой оси, а дискретный
фильтр имеет бесконечное множество
полюсов в плоскости s. После
мы осуществили отображение комплексной
плоскости s в комплексную
z-плоскость и перешли от
преобразования Лапласа к z-преобразованию,
при этом количество нулей и полюсов
дискретного фильтра в z-плоскости
стало конечным. Рассмотрев
свойства z-преобразования
мы получили передаточную характеристику
дискретного фильтра, на основе которой
вывели разностное уравнение дискретного
фильтра. В конце мы рассмотрели различия
КИХ и БИХ-фильтров.
Любые вопросы и пожелания вы можете оставить в
гостевой книге, на форуме,
или прислать по электронной почте admin@mtyar.ru
|